The SPEAR UltraDetect™ Parallel Plex Solution enables simultaneous biomarker detection without sacrificing analytical performance.
The parallel plex approach, which leverages the platform's low sample-volume requirements and automated procedures, enables simultaneous, independent measurement of up to 4 biomarkers from a single small-volume plasma aliquot.
This article shows the interchangeable ultraperformance quantification of pTau 217, pTau 231, NF-L, and GFAP on the SPEAR UltraDetect™ platform using singleplex and parallel 4-plex processes.
Two investigations were conducted to assess performance equivalence: one using a fabricated sample set composed of healthy plasma and assay calibrators, and the other utilizing commercially supplied plasma samples from a cohort of supposedly healthy and Alzheimer's disease (AD) patients.
Across all experiments, the parallel 4-plex procedure yielded quantitative data that were highly consistent with the singleplex format, with comparable precision and fold separation between disease and healthy control groups.
These findings suggest that the SPEAR UltraDetect™ parallel plex approach is an efficient and scalable solution for multibiomarker analysis in research applications.
The SPEAR UltraDetect™ Parallel Plex Solution allows researchers to assess numerous biomarkers simultaneously with singleplex-grade sensitivity, specificity, and precision, using a single small-volume sample aliquot.
In addition, the parallel plex approach allows for the simultaneous investigation of closely related biomarkers, such as multiple Tau or pTau species, which cannot be detected together with traditional multiplex immunoassays.
Introduction
As neurological research moves toward multianalyte profiling, there is a growing need for high-performance, efficient technologies that can quantify many biomarkers from small sample quantities.
Conventional multiplex immunoassays sometimes include trade-offs between sensitivity, specificity, and interanalyte interference, which limits their usefulness in sensitive biomarker research.
The SPEAR UltraDetect™ Parallel Plex Solution addresses these problems by allowing simultaneous and independent measurement of several biomarkers, while maintaining the precision and specificity of a singleplex test.
The method necessitates a sample volume tens to hundreds of times less than that employed on other platforms. Spear Bio’s parallel plex solution, based on the SPEAR UltraDetect™ platform's automated process and homogeneous immunoassay chemistry, enables researchers to
- Detect up to four biomarkers simultaneously from a single sample aliquot.
- Maintain singleplex analytical performance without cross-reactivity.
- Minimize sample consumption.
- Improve data generation with automated processes and scalable throughput.
The SPEAR UltraDetect™ Parallel Plex solution works with existing SPEAR UltraDetect™ assay kits and the SPEAR Reaction Kit to analyze multiple biomarkers simultaneously in 96- or 384-well plates.
This article introduces the parallel plex process concept (Figure 1) and demonstrates its analytical equivalence to normal singleplex workflows on the SPEAR UltraDetect™ platform. It quantifies four essential biomarkers implicated in neurological research: pTau 231, pTau 217, NF-L, and GFAP.

Figure 1. A schematic illustration of the SPEAR UltraDetect™ Parallel Plex workflow solution. Image Credit: Spear Bio

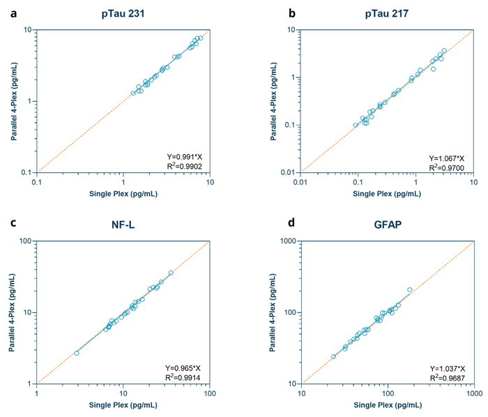
Figure 2. Alignment of measurements between singleplex and parallel 4-plex workflows in contrived samples. Concentration readings of sample replicates for pTau 231 (a), pTau 217 (b), NF-L (c), and GFAP (d) from singleplex and the parallel 4-plex workflows are plotted. The linear fit and R-square are shown. Orange dashed lines indicate the line of identity. Image Credit: Spear Bio
Materials and methods
Samples
Contrived sample set
A total of nine distinct samples were used, comprising four EDTA plasma samples from healthy people, one pooled healthy plasma sample obtained from commercial sources, and four levels of calibrator-spiked pooled plasma. The calibrations were determined from the relevant SPEAR UltraDetect™ assay kits for pTau 231, pTau 217, NF-L, and GFAP.
Clinical cohort
A total of 26 EDTA plasma samples were studied, with 13 from presumably healthy donors and 13 from donors clinically diagnosed with AD.
SPEAR assay procedure
The researchers employed four SPEAR UltraDetect™ assay kits: pTau 231 (SPR90009), pTau 217 (SPR90007), NF-L (SPR90004), and GFAP (SPR90010), as well as the SPEAR Reaction kit (SPR90024).
EDTA plasma samples were prepared using the Formulatrix® F.A.S.T.™ liquid handler, QInstruments® BioShake® iQ, and QuantStudio™ qPCR equipment, using standard singleplex or parallel 4-plex methods in a 384-well format. Each sample was analyzed in duplicate for each analyte in each workflow run.
Results
Analytical equivalency in contrived samples
In the manipulated sample collection, all biomarkers were measured over their functional lower limit of quantification (fLLoQ). The parallel 4-plex workflow demonstrated strong alignment with singleplex results, with R² values above 0.99 and slopes ranging from 0.91 to 1.11 (Figure 2).
Across workflows, over 95% of samples showed a bias of less than 15 % from the mean. The average bias and inter-plate CV ranges are 2.8-6.0 % and 1.8-6.4 %, respectively (see Figure 3).

Figure 3. Measurement bias in contrived samples. Concentration measurements of sample replicates in singleplex and parallel 4-plex workflows are plotted for pTau 231 (a), pTau 217 (b), NF-L (c), and GFAP (d). Orange dashed lines indicate 20 % difference from the average value. Measurement bias and inter-plate CVs are summarized (e). Image Credit: Spear Bio
The clinical cohort showed similar results for parallel 4-plex and singleplex operations, with R² values ranging from 0.97 to 0.99 and slopes from 0.97 to 1.07 (see Figure 4).
The percent bias for all biomarkers remained substantially below 20 % (Figure 5). Both procedures showed a similar fold separation between the healthy and AD groups (Figure 6).
Discussion
Conventional immunoassay forms include singleplex and multiplex. While singleplex assays offer the highest sensitivity and specificity, multiplex assays conserve time and sample volume by detecting multiple analytes simultaneously.
Multiplex techniques are often hampered by cross-reactivity, interference, and poor analytical performance – especially when examining related proteins or protein isoforms.
The SPEAR UltraDetect™ parallel plex system combines the benefits of multiplexing and singleplex assays, ensuring optimal performance.
Researchers can combine any assays from the SPEAR UltraDetect™ menu in a Parallel Plex process without interference or cross-reactivity, as analytes are evaluated independently in distinct reactions.
The SPEAR UltraDetect™ platform's attomolar sensitivity and automation enable the parallel plex solution, which requires only 25 µL of plasma to test up to four biomarkers in duplicate. It also supports 96- and 384-well plate layouts, allowing for scalable throughput.
The results given here demonstrate that the parallel plex system provides equivalent analytical performance with singleplex procedures for both artificial and clinical samples.
Notably, the simultaneous analysis of pTau 231 and pTau 217 from a single plasma aliquot – which is difficult in traditional multiplex formats – showcases the parallel plex solution's unique ability to analyze closely related analytes at once.
This provides a new opportunity for researchers to investigate the dynamics of structurally or functionally related proteins in a more physiologically relevant context.
Summary
The SPEAR UltraDetect™ Parallel Plex Solution expands the platform's capabilities into concurrent multibiomarker detection, allowing researchers to generate richer data quicker while maintaining the analytical rigor of singleplex tests.
The parallel plex approach adds a new level of flexibility and power to immunoassays, giving multiplex-like efficiency while maintaining singleplex-grade performance, even for functionally or structurally related protein targets.

Figure 4. Alignment of measurements between singleplex and parallel 4-plex workflows in clinical samples. Concentrations of pTau 231 (a), pTau 217 (b), NF-L (c), and GFAP (d) from singleplex and parallel 4-plex workflows are plotted. The linear fit and R-square are shown. Orange dashed lines indicate the line of identity. Image Credit: Spear Bio

Figure 5. Measurement bias in clinical samples. Concentration measurements in the singleplex and parallel 4-plex workflows are plotted for pTau 231 (a), pTau 217 (b), NF-L (c), and GFAP (d). Orange horizontal dashed lines indicate a 20 % difference from the average value. Image Credit: Spear Bio

Figure 6. Comparison of measurements in control and AD groups from singleplex and parallel 4-plex workflows. Sample concentrations from the two workflows are plotted and grouped in control and AD groups. Horizontal solid lines indicate the median of the groups. Image Credit: Spear Bio
About Spear Bio
Spear Bio is an innovative leader in providing scalable solutions for ultra-sensitive protein biomarker measurements. Spear Bio’s proprietary technology, Successive Proximity Extension Amplification Reaction (SPEAR), employs a unique 2-factor authentication mechanism to precisely measure protein biomarkers at attomolar level from sub-microliter sample volume. Spear Bio is focused on leveraging its technology’s unprecedented sensitivity to transform protein research and early disease diagnosis.
Sponsored Content Policy: News-Medical.net publishes articles and related content that may be derived from sources where we have existing commercial relationships, provided such content adds value to the core editorial ethos of News-Medical.net, which is to educate and inform site visitors interested in medical research, science, medical devices and treatments.