The BeSEC is a dual-angle light-scattering detector designed to measure the absolute molecular weight of proteins, synthetic polymers, and natural polymers, while also evaluating molecular dimensions through radius of gyration (Rg) analysis.
How to Operate BeSEC for Molecular Weight Measurements
How to Operate BeSEC for Molecular Weight Measurements. Video Credit: Bettersize Instruments Ltd.
Fundamentals of BeSEC Series | Absolute Molecular Weight Analyzer
Fundamentals of BeSEC Series | Absolute Molecular Weight Analyzer. Video Credit: Bettersize Instruments Ltd.
Overview
Features
BeSEC - Advanced light scattering detector for SEC/GPC systems

Image Credit: Bettersize Instruments Ltd.
Step into the next generation of chromatography with the BeSEC Series. Designed as an advanced light scattering detector, the BeSEC elevates conventional SEC/GPC workflows into dependable platforms for absolute molecular weight measurement.
Unlike traditional approaches that rely on retention time, the BeSEC delivers data grounded in first principles, giving researchers in biopharmaceuticals, advanced polymer science, and food chemistry the accuracy they need. The result is greater confidence in your results and a clearer path from discovery to market.
Features
- Detection angles: 7 ° and 90 °
- Molecular weight range: 1 kDa to 2 GDa
- Homopolymer and protein modes
- Acquires RI, UV, and start signals
- Supports radius of gyration Rg > 12 nm
- 18 μL flow cell minimizes band broadening
- User-friendly software featuring real-time analysis
Benefits
- Proteins: Determining the molecular weight, oligomeric state, and aggregate content
- Column calibration is not required, as Mw is independent of elution volume
- Polymers and polysaccharides: Analysis of molecular weight distribution and molecular size
- Compatible with all GPC or SEC systems
- Low-angle detection enables accurate molecular weight determination
Why dual-angle detection matters?
By collecting light-scattering data at both 7° (low angle) and 90° (right angle), the system eliminates the inaccuracies associated with conventional column calibration. This dual-angle approach enables precise measurement of absolute molecular weight and molecular size with exceptional sensitivity - even for complex or highly branched polymers.

Image Credit: Bettersize Instruments Ltd.
- Direct measurement via low-angle light scattering (LALS) at 7 °
- LALS ensures high accuracy for larger macromolecules
- Direct measurement via right-angle light scattering (RALS) at 90 °
- RALS provides high sensitivity for smaller macromolecules
Measurement parameters
Mn - Number-average molecular weight
Mw - Weight-average molecular weight
Mz - Z-average molecular weight
Mp - Peak molecular weight
Rg - Radius of gyration
Pd - Polydispersity index
dn/dc - Refractive index increment
Conc. - Concentration
Model selection
Source: Bettersize Instruments Ltd.
| |
BeSEC LS1 |
BeSEC LS2 |
| Detection Angle 90 ° |
√ |
√ |
| Detection Angle 7 ° |
× |
√ |
| Mw Range |
1 kDa to 20 MDa |
1 kDa to 2 GDa |
| Radius of Gyration (Rg) |
× |
√ |
Workflow
Universal integration
Coupling with any SEC/GPC platforms seamlessly
The BeSEC Series is engineered for universal compatibility, allowing seamless integration downstream of virtually any third-party SEC/GPC system.
Chromatography workflows typically unfold in two stages. The first is the separation stage, which includes the solvent delivery pump, inline degasser, autosampler or manual injector, and SEC columns. The second is the detection stage, where a combination of detectors - most commonly Refractive Index (RI), UV-Visible, and Light Scattering - work together to characterize molecular properties in real time.

Image Credit: Bettersize Instruments Ltd.

Image Credit: Bettersize Instruments Ltd.
Technology
Determining absolute molecular weight with the light scattering detector
In size-exclusion chromatography (SEC), separation is governed exclusively by the hydrodynamic size of the molecules. Larger molecules cannot enter the pores of the stationary phase and therefore elute earlier, while smaller molecules diffuse into the pores and elute later. The process is purely physical, with no chemical or adsorptive interactions occurring between the solute and the stationary phase.

Image Credit: Bettersize Instruments Ltd.

UV & RALS Responses versus Retention Volume. Image Credit: Bettersize Instruments Ltd.
Mathematical definitions of average molecular weight
Source: Bettersize Instruments Ltd.
| |
|
| Number-average molecular weight (Mn) |
 |
| Weight-average molecular weight (Mw) |
 |
| Z-average molecular weight (Mz) |
 |

Image Credit: Bettersize Instruments Ltd.
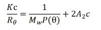
Principle of Static Light Scattering (SLS)

Static Light Scattering (SLS) measures the intensity of light scattered by macromolecules in solution. By applying the Rayleigh equation to scattering data collected at defined angles, the technique establishes a direct relationship between scattered intensity, absolute molecular weight, and the second virial coefficient (A2). This approach enables precise and reliable characterization of key molecular properties.

Image Credit: Bettersize Instruments Ltd.
Breaking free from column calibration
How the BeSEC improves SEC/GPC workflows
Conventional SEC/GPC systems lacking light scattering detection deliver only relative molecular weight.
These systems depend on calibration using a series of polymer standards to generate a calibration curve that correlates molecular weight with retention volume.


Image Credit: Bettersize Instruments Ltd.
Conventional approaches that rely solely on retention volume can introduce considerable bias.
Polymers with similar hydrodynamic sizes may elute at the same time, yet differ significantly in molecular weight due to structural variations. Without light scattering detection, these differences often go undetected, limiting the ability of traditional SEC or GPC methods to reliably distinguish between such samples.

Image Credit: Bettersize Instruments Ltd.
Source: Bettersize Instruments Ltd.
| Advantages of Light Scattering Detector BeSEC |
VS |
Limitations of Conventional SEC/GPC |
| ✓ No Calibration Curve Required BeSEC measures molecular weight directly from light scattering, eliminating reliance on polymer standards and avoiding errors caused by structural differences between standards and samples. |
|
× Calibration is time-consuming and must cover the full elution range |
| |
× Limited availability of suitable standards reduces accuracy |
| |
× Molecular weight remains relative to chosen standards |
| ✓ Independent of Retention Time When coupled with SEC/GPC, the BeSEC determines the absolute molecular weight for each eluting species, even in the presence of chromatographic anomalies such as adsorption, shear, or peak overlap. |
|
× Structural effects such as branching or aggregation are often missed |
| |
× Results depend strongly on column performance, which degrades over time |
Software
BeSEC workstation software
Research-grade chromatography software
BeSEC software is a dedicated chromatography workstation designed for light-scattering detectors.
It provides an intuitive and easy-to-navigate interface with straightforward operation, while delivering a comprehensive range of application-specific reports and results.
Features and benefits
- Compatible with any third-party GPC or SEC system, enabling acquisition of RI, UV, and start signals
- Generates statistical reports for clear, side-by-side comparison of measurements
- Ensures accurate and consistent multi-peak integration
- Provides dn/dc determination along with precise concentration calculations
- Supports automated sequence measurements for streamlined workflows
- Allows baseline and integration settings to be applied simultaneously across all detector signals
- Delivers more than 20 output parameters to support research, quality control, and production processes

Image Credit: Bettersize Instruments Ltd.

Integrated Statistical Analysis for Comprehensive Data and Curve Comparison. Image Credit: Bettersize Instruments Ltd.
Source: Bettersize Instruments Ltd.
| |
1# |
2# |
3# |
4# |
5# |
| Mn |
80,512 |
94,839 |
89,895 |
78,859 |
86,202 |
| Mw |
146,949 |
141,931 |
148,299 |
140,964 |
149,332 |
| Mz |
236,621 |
215,152 |
227,991 |
222,878 |
230,188 |
| Pd |
1.8252 |
1.4965 |
1.6497 |
1.7875 |
1.7324 |
| Rg |
23.6687 |
24.1895 |
25.0780 |
23.0802 |
25.7980 |

Image Credit: Bettersize Instruments Ltd.

Image Credit: Bettersize Instruments Ltd.
Simplify the testing with the BeSEC workstation
Benefit from industry-leading signal performance and real-time data analysis, delivered through a streamlined, user-friendly interface. From setup to final report, the system provides clear, reliable results every step of the way.
Application
Application examples
Polymers and plastics
Molecular weight plays a critical role in defining both the mechanical strength and processing behavior of polymers such as PET. Traditional methods, such as intrinsic viscosity, provide only an average value and do not capture the full molecular-weight distribution.
By integrating light scattering detection with an SEC system, researchers can directly measure absolute molecular weight and determine the complete distribution profile. This added insight supports tighter process control and more informed product optimization - helping ensure consistent quality and reliable performance.

Image Credit: Bettersize Instruments Ltd.
Proteins and biologics
In biopharmaceutical applications, aggregates play a critical role in both therapeutic efficacy and patient safety, as larger aggregates can trigger unwanted immune responses. Gaining a clear understanding of the type and concentration of aggregates in protein formulations is therefore essential.
The BeSEC system effectively differentiates monomers, dimers, and higher-order species while accurately quantifying their relative content. These insights are essential for maintaining formulation stability and meeting stringent regulatory requirements.
Source: Bettersize Instruments Ltd.
| Peak |
Mw (Da) |
Ratio of Peak n/Peak 1 |
Area (%) |
| Peak 1 |
149,776 |
1.00 |
75.8 |
| Peak 2 |
295,157 |
1.97 |
17.4 |
| Peak 3 |
450,351 |
3.01 |
3.8 |

Image Credit: Bettersize Instruments Ltd.
Specifications
Source: Bettersize Instruments Ltd.
| |
BeSEC LS1 |
BeSEC LS2 |
| Measurement |
| Molecular Weight Range |
1 kDa to 20 MDa* |
1 kDa to 2 GDa* |
| Rg |
N/A |
> 12 nm* |
| System |
| Detection Angle |
RALS (90 °) |
LALS (7 °) and RALS (90 °) |
| Laser Source Type |
Diode laser |
| Laser Power |
10 mW |
| Laser Wavelength |
640 nm |
| Sample Cell Volume |
18 µL |
| Acquisition Rate |
5 Hz |
| Dynamic Range |
+/- 2500 mV |
| Connection to PC |
USB |
| Measurement Modes |
Homopolymer mode, protein mode |
| Output Results |
Mn, Mw, Mz, Mp, Pd, dn/dc, Concentration, Mw distribution |
Mn, Mw, Mz, Mp, Pd, dn/dc, Concentration, Mw distribution, Rg |
| Analog Inputs |
RI, UV and start signals |
| Solvent Compatibility |
Aqueous and organic solvents |
| Wetted Parts |
PTFE, PEEK, glass, stainless steel |
| Power Supply |
AC 100-240 V, 50-60 Hz, 4.0 A |
| Dimensions (L × W × H) |
450 × 325 × 157 mm (= 17.7″ × 12.8″ × 6.2″) |
| Weight |
11 kg (= 24.2 lbs) |
* Depending on sample and options

Image Credit: Bettersize Instruments Ltd.

Image Credit: Bettersize Instruments Ltd.

Image Credit: Bettersize Instruments Ltd.